Celentyx Ltd | Immunology CRO
  • Home
  • Immunology Assays
    • Antigen-specific Assays
    • B Cells
    • Fibroblasts
    • Haemolysis Testing
    • Human microglia
    • Macrophages/Monocytes
    • Granulocytes (neutrophils and eosinophils)
    • NK Cells
    • Phagocytosis Assays
    • Regulatory T cells
    • Spheroid Killing Assays
    • Suppression Assays
    • T Cell Activation Assays
    • T Cell Exhaustion Assays
    • TIL and dissociated tumour cell assays
    • Tumour Cell Killing
  • Therapeutic Area
    • Autoimmunity & Inflammation
    • COVID-19
    • Fibrosis
    • Immuno-oncology
    • Neuroinflammation
  • Services
    • Assays on Patient Cells
    • Bespoke Services & Assay Development
    • CyTOF
    • Cytokine Release Assays
    • ELISA
    • ELISpot
    • ELLA
    • Flow Cytometry
    • Imaging: High-content
    • Intracellular Cytokine Staining
    • Luminex
    • Phosphoflow
    • Seahorse Metabolic Assays
  • About
    • People
    • Publications
    • News
    • Careers
  • Contact

Cytokine Release Assay

Home > ​Services > Cytokine Release Assays

Cytokine Release Assays

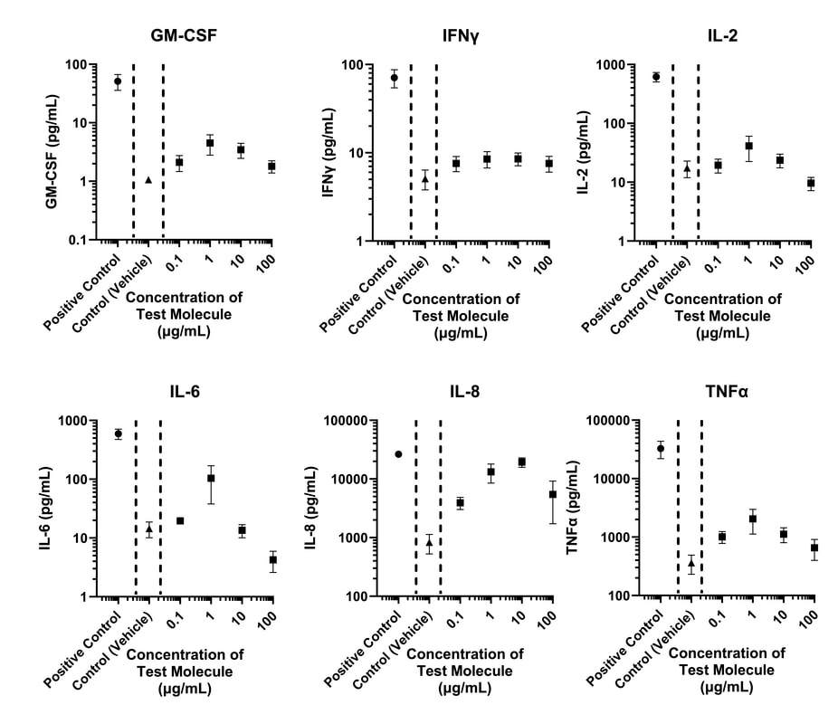
Celentyx can quantify cytokine release in response to therapeutic agents. Assays can be run in whole blood or PBMC formats, and with blood collected using different anti-coagulants (which may affect responses). These assays may be suitable for assessing immunogenicity of therapeutic agents and large numbers of donors can be tested. Cytokine levels can be quantified by ELISA or Luminex if multiplex cytokine analysis required (~50 analytes). The example below shows multiple donor responses to a test therapeutic for a small panel of test cytokines.
Picture
Further Services
Assays on Patient Cells
​Bespoke Services & Assay Development 
CyTOF
​ELISpot
ELLA
​Flow Cytometry
​Imaging: High Content
​Intracellular Cytokine Staining
Luminex​​​
​Phosphoflow
​Seahorse Metabolic Assays

FIND US

Celentyx Ltd
Birmingham Research Park
97 Vincent Drive
Birmingham
B15 2SQ
United Kingdom
Celentyx Innovation Lab
BioEscalator Innovation Building
Roosevelt Drive
Oxford
​OX3 7FZ
United Kingdom

    CONTACT US

Submit
Web Hosting by Bluehost
  • Home
  • Immunology Assays
    • Antigen-specific Assays
    • B Cells
    • Fibroblasts
    • Haemolysis Testing
    • Human microglia
    • Macrophages/Monocytes
    • Granulocytes (neutrophils and eosinophils)
    • NK Cells
    • Phagocytosis Assays
    • Regulatory T cells
    • Spheroid Killing Assays
    • Suppression Assays
    • T Cell Activation Assays
    • T Cell Exhaustion Assays
    • TIL and dissociated tumour cell assays
    • Tumour Cell Killing
  • Therapeutic Area
    • Autoimmunity & Inflammation
    • COVID-19
    • Fibrosis
    • Immuno-oncology
    • Neuroinflammation
  • Services
    • Assays on Patient Cells
    • Bespoke Services & Assay Development
    • CyTOF
    • Cytokine Release Assays
    • ELISA
    • ELISpot
    • ELLA
    • Flow Cytometry
    • Imaging: High-content
    • Intracellular Cytokine Staining
    • Luminex
    • Phosphoflow
    • Seahorse Metabolic Assays
  • About
    • People
    • Publications
    • News
    • Careers
  • Contact